Expression des composantes de l’accélération selon Ox et Oy d’un mobile soumis à une force centrifuge et de Coriolis.
par bernard.vuilleumier
Pour rendre compte des mouvements observés dans un référentiel tournant, il faut modifier les lois de la mécanique car ce référentiel n’est pas galiléen. Il suffit d’introduire, en plus des forces réelles, des forces fictives, qu’on appelle forces d’inertie.
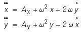
En exprimant l’accélération résultante en composantes à l’aide de l’accélération due aux forces extérieures, de l’accélération centrifuge et de l’accélération de Coriolis, on obtient les équations :
N. B. Ax et Ay sont les composantes de l’accélération extérieure. La composante selon Ox de l’accélération de Coriolis a le même signe que la composante selon Oy de la vitesse (d’où le signe +). La composante selon Oy de l’accélération de Coriolis est de signe opposé à celui de la composante selon Ox de la vitesse (d’où le signe -). Si on change le sens de rotation, les signes des deux composantes sont modifiés. Si nous négligeons les frottements, l’accélération due aux forces extérieures s’annule et les équations s’écrivent :
Activités
– Observez attentivement la séquence vidéo du carrousel
– Estimez le plus précisément possible les grandeurs suivantes :
- dimensions et vitesse angulaire du carrousel
- positions et vitesses initiales des différents mobiles sur le carrousel
- distances parcourues par les mobiles et temps de parcours
- positions finales.
– Résolvez numériquement les équations par rapport à x(t) et y(t).
– Réalisez une animation permettant de reproduire les mouvements observés.
– Calculez les accélérations centrifuge, de Coriolis et résultante.
– Faites figurer ces vecteurs sur l’animation.