Bandeau
Apprendre en ligne
Slogan du site

Ressources pour les enseignants et les élèves du secondaire II.

Lettre n° 193. Janvier 2005
Calculer des aires
Calcul d’aires à l’aide de coordonnées curvilignes

Le calcul de l’aire d’un domaine Dxy du plan défini par des courbes peut se ramener au calcul de l’aire d’un rectangle.

Article mis en ligne le 3 janvier 2005
dernière modification le 5 janvier 2020

Calculer l’aire d’un rectangle, d’un parallélogramme ou d’un quadrilatère, c’est-à-dire l’aire d’un domaine du plan délimité par quatre droites, est une chose aisée. Mais lorsque l’aire à calculer est délimitée par des lignes courbes la tâche est plus délicate.

Il existe plusieurs techniques pour résoudre ce type de problème. Nous allons en examiner une qui, en utilisant les coordonnées curvilignes, permet de ramener le calcul de l’aire d’une surface délimitée par des courbes à celui de l’aire d’un rectangle.

Aire d’un domaine $D_xy$
Le calcul de l’aire d’un domaine $D_xy$ du plan défini par des courbes peut se ramener au calcul de l’aire d’un rectangle.

Considérons un domaine $D_{xy}$ du plan délimité par des courbes. L’intégrale :

mesure son aire. Si les courbes se transforment en droites dans un système de coordonnées curvilignes u, v, l’aire de $D_{xy}$ peut se calculer par :

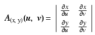
$A_{(xy)}(u, v)$ est le facteur local de conversion des aires lorsqu’on passe des coordonnées curvilignes u, v aux coordonnées cartésiennes x, y. Ce facteur, appelé déterminant fonctionnel ou jacobien, est donné par :

Calcul de l’aire d’un domaine
L’aire du domaine $D_xy$ est la même que celle du rectangle.

Corrigé des exercices

Lettre précédente
Lettre suivante