Bandeau
Apprendre en ligne
Slogan du site

Ressources pour les enseignants et les élèves du secondaire II.

Electromagnétisme
Mesure du quotient charge/masse de l’électron
Rapport d’expérience

Mesure du quotient charge/masse de l’électron en observant la trajectoire d’un faisceau d’électrons dans un champ magnétique.

Article mis en ligne le 23 mars 2006
dernière modification le 12 janvier 2007

par Jennifer Ruttimann, Samuel Rodrigues

Lorsqu’une particule chargée pénètre dans une région de l’espace où règne un champ magnétique homogène (entre deux bobines plates par exemple) elle subit une force perpendiculaire à son vecteur vitesse et aux lignes de champ. La particule décrit alors une trajectoire circulaire dont le rayon dépend du champ magnétique, de la masse, de la charge et de la vitesse de la particule. Connaissant la tension qui a permis d’accélérer la particule et le courant qui circule dans les bobines, on peut trouver respectivement la vitesse de la particule et le champ magnétique dans lequel elle évolue. La mesure du rayon de sa trajectoire permet alors de déterminer le rapport e/m de sa charge à sa masse.

Objectif :

 Déterminez la valeur du quotient de la charge sur la masse et en déduire la masse de l’électron.

Matériel :

 Ampèremètre
 Bobines de Helmholtz
 Règle
 Ordinateur
 Mathematica

Expérience :

Nous utilisons un canon à l’électron et nous observons un faisceau circulaire d’électrons dans un champ magnétique formé par deux bobines de Helmholtz

Nous avons mesuré le rayon en [m] du cercle formé par le faisceau en fonction de la tension U et de l’intensité I.
Voici les résultats :

0.8[A]1[A]1.2[A]1.4[A]1.6[A]1.8[A]2[A]2.2[A]
150[V] 0.095 0.075 0.07 0.06 0.05 0.045 0.035 0.03
200[V] 0.11 0.095 0.08 0.07 0.06 0.055 0.045 0.04
250[V] 0.115 0.095 0.08 0.07 0.06 0.05 0.045

Nous avons par la suite représenté graphiquement r en fonction de 1/I.

 le vert
 : résultats avec une tension U de 150 [V]
 le bleu : résultats avec une tension U de 200 [V]
 le rouge
 : résultats avec une tension U de 250 [V]

graphique de r en fonction de 1/I

Analyse :

À l’aide de la fonction Fit de Mathematica, on cherche la pente de chacune de ces fonctions qui correspond au coefficient k dans l’expression $r=k*1/I$

pentes

150[V]200[V]250[V]
k 0.0778 0.093 0.1116

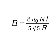
La détermination expérimentale de k permet, puisqu’on connaît le rayon r et le nombre de spire N de la bobine, de calculer le quotient m/q. Pour cela, il faut isoler m/q de la formule suivante :

Cette dernière provient de la formule du champ magnétique B, produit par les bobines de Helmholtz, qui nous dit que :

Sachant que le nombre de spires N vaut 70 et que le rayon R vaut 0,15 mètre, nous obtenons les résultats suivants pour le quotient m sur q :

m/q

150[V]200[V]250[V]
m/q $3.55*10^{-12}$ $3.8*10^{-12}$ $4.4*10^{-12}$

Ceci fait, nous pouvons calculer la valeur pour la masse m dans les trois cas, sachant que q vaut $1.6*10^{-19} $[C].

m

150[V]200[V]250[V]
m $5.7*10^{-31}$ $6.1*10^{- 31}$ $7.04*10^{- 31}$

La valeur dans la table CRM pour la masse d’un électron est de : $9,10939*10^{-31}$[kg]. Il y a toutefois une certaine différence avec celle que l’on a trouvée expérimentalement.

Calcul d’erreur :

Nous avons une erreur relative moyenne de 77% qui est due notamment à l’imprécision de la mesure du diamètre ainsi qu’au réglage de l’intensité et de la tension.