Bandeau
Apprendre en ligne
Slogan du site

Ressources pour les enseignants et les élèves du secondaire II.

Cinématique vectorielle
Comment utiliser l’horaire en balistique ?
Caractéristiques d’un mouvement sans frottement dans le champ de la pesanteur

Caractéristiques du mouvement d’un projectile soumis à son seul poids

Article mis en ligne le 21 septembre 2006
dernière modification le 7 mai 2007

par bernard.vuilleumier

Lorsqu’un mobile se déplace dans un champ de force uniforme - comme le champ de la pesanteur au voisinage de la surface terrestre - et qu’il est soumis à son seul poids, son horaire, qui correspond aux équations paramétriques du mouvement, permet d’obtenir plusieurs informations sur sa trajectoire.


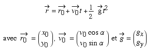
Horaire d’un tir parabolique

Lorsqu’un mobile se déplace au voisinage de la surface terrestre et qu’on néglige le frottement, il est soumis à une force constante qui est son poids. Son horaire est alors celui d’un mouvement dont le vecteur accélération est constant. Cet horaire s’écrit :

Horaire d’un mouvement dans un champ de force uniforme
Le mouvement d’un projectile soumis à son seul poids est un mouvement uniformément accéléré (accélération constante).

Horaire d’un mouvement dans un champ de force uniforme : le mouvement d’un projectile soumis à son seul poids est un mouvement uniformément accéléré (accélération constante).

En choisissant un système d’axes Oxy dont l’axe y est aligné sur le poids du mobile, on annule la composante gx de l’accélération et la composante gy est alors égale à -9.81 m/s2 :

Équations paramétriques et équation de la trajectoire

En écrivant cet horaire en composantes, on obtient deux équations appelées équations paramétriques du mouvement (c’est le temps t qui est le paramètre). En éliminant t entre ces deux équations, on obtient l’équation de la trajectoire.

Problèmes balistiques

Ces équations permettent, dans le cas simple du tir sans frottement, de répondre à plusieurs questions de balistique :

  1. Quelles sont les coordonnées du sommet de la parabole ?
  2. Quelle est la portée du tir ?
  3. Quel est l’angle de tir qui donne la plus grande portée ?
  4. Que vaut cette portée maximale ?
  5. Quelle valeur faut-il donner aux angles de tir pour que le projectile atteigne un point P fixé d’avance ?
  6. Quelle est l’expression de l’enveloppe des tirs ?


Exercice

 Démontrez, en utilisant les équations paramétriques obtenues à partir de l’horaire ci-dessus, que la trajectoire est une parabole.
 Exprimez, puis calculez, en utilisant les valeurs numériques suivantes x0=0, y0=0, v0=20 m/s, gy=-9.81 m/s2, tinitial=0, tfinal=3.5 s, Δt=0.5 s, α=60° :

  • les composantes des vecteurs position, vitesse et accélération
  • les coordonnées du sommet de la parabole.
  • la portée du tir
  • l’angle de tir donnant une portée maximale
  • la portée maximale
  • les angles permettant d’atteindre le point de coordonnées (20 m, 10 m)

 Donnez l’équation de l’enveloppe des tirs.